葉面積指數是一個單一的數值 —— 它是某一特定時間對冠層所做的統計快照。但這一個數值卻能帶來深刻的見解。
為什么要測量葉面積指數?
葉面積指數(LAI)是描述植物冠層結構較廣泛使用的測量指標之一。葉面積指數對于理解冠層功能也很有用,因為生物圈與大氣之間的許多物質和能量交換都發生在葉片表面。出于這些原因,葉面積指數通常是生物地球化學、水文和生態模型中使用的關鍵生物物理變量。葉面積指數還常被用作衡量從樣地到全球不同空間尺度上作物和森林生長及生產力的指標。
什么是葉面積指數(LAI)?
葉面積指數(LAI)量化了冠層中葉片物質的數量。根據定義,它是單側葉面積與單位地面面積的比率。葉面積指數是無單位的,因為它是面積的比值。例如,葉面積指數為 1 的冠層,其葉面積與地面面積之比為 1:1(圖 1a);葉面積指數為 3 的冠層,其葉面積與地面面積之比為 3:1

圖 1. 植物冠層概念圖,其中(a)= 1,(b)= 3
如何測量葉面積指數?
測量葉面積指數沒有更好的方法。每種方法都有其優缺點。您選擇的方法在很大程度上取決于您的研究目標。需要單一葉面積指數估計值的研究人員可能會使用與監測葉面積指數隨時間變化的研究人員不同的方法。例如,草原研究人員可能偏好與林業研究人員不同的方法。
直接測量
傳統上,研究人員通過從樣地中收獲所有葉片并費力地測量每片葉片的面積來測量葉面積指數。平板掃描儀等現代設備使這一過程更高效,但它仍然是勞動密集型、耗時且具有破壞性的。在高大的森林冠層中,這種方法甚至可能不可行。然而,由于每片葉片都經過實際測量,它仍然是計算葉面積指數較為準確的方法。凋落物收集器是另一種直接測量葉面積指數的方法,但它在常綠冠層中效果不佳,只能捕獲從植物上衰老并脫落的葉片信息。
間接測量
幾十年前,冠層研究人員開始尋找測量葉面積指數的新方法,既要節省時間,又要避免破壞他們試圖測量的生態系統。這些間接方法通過測量相關變量(如透過冠層或被冠層反射的光量)來推斷葉面積指數。
半球攝影法
半球攝影法是較早用于間接估計葉面積指數的方法之一。研究人員使用魚眼鏡頭從地面拍攝冠層。最初,照片由研究人員自己分析;現在,大多數研究人員使用專門的軟件來分析圖像,區分有植被和無植被的像素。

圖 2. 使用數字相機魚眼鏡頭拍攝的混合落葉林半球照片
優勢:半球攝影法有明顯的優勢。首先,它提供的不僅僅是葉面積指數測量值,還可以提供冠層測量值,如間隙分數、太陽光斑出現時間和持續時間以及其他冠層結構指標。其次,冠層圖像可以存檔,以便在方法改變和軟件程序改進時供以后使用或重新分析。
局限性:然而,半球攝影法也有缺點。盡管現在圖像是數字化處理的,但用戶的主觀性仍然是一個重要問題。用戶必須選擇區分天空像素和植被像素的圖像亮度閾值,這導致不同用戶或使用不同圖像分析算法時,葉面積指數值會有所不同。
半球攝影法仍然很耗時。在野外獲取高質量圖像需要時間,在實驗室分析圖像也需要更多時間。此外,拍攝照片時天空條件必須是均勻陰天。對于小麥和玉米等矮冠層,半球攝影法效果不佳,因為相機機身、鏡頭和三腳架可能無法完全安裝在冠層下方。
注意:對于某些用戶,測量光合有效輻射(PAR)的儀器提供了一種捷徑。一些型號使用葉面積指數值來估計光合有效輻射。在這種情況下,光合有效輻射儀器可用于直接估計冠層下方的光合有效輻射水平,從而提高模型的準確性。
輻射透射法
一些市售儀器,包括 LP-80 冠層分析儀,為半球攝影法提供了替代方案。它們利用植物冠層透射的光能來估計葉面積指數。其原理相當簡單:茂密的冠層比稀疏的冠層吸收更多的光。這意味著葉面積指數和光截獲之間必然存在某種關系。比爾定律為這種關系提供了理論基礎。在環境生物物理學中,比爾定律的表達式為:

其中,PARt 是在近地面處測量的透射光合有效輻射(PAR),PARi 是冠層頂部的入射光合有效輻射,z 是光子穿過某種衰減介質的路徑長度,k 是消光系數。就植被冠層而言,z 與葉面積指數有關,因為葉片是光子衰減的介質。可以看出,如果我們知道 k 并測量 PARt 和 PARi,就有可能通過反轉方程 1 來計算 z,作為葉面積指數的估計值。這種方法通常被稱為光合有效輻射反演技術。比爾定律是利用入射和透射光合有效輻射測量值估計葉面積指數的基礎。
優勢:光合有效輻射反演技術具有非破壞性,這是一個明顯但重要的優勢,它允許對冠層進行廣泛且重復的采樣。光合有效輻射反演技術之所以有吸引力,還因為它在輻射傳輸理論和生物物理學方面有堅實的基礎,并且適用于各種冠層類型。出于這些原因,光合有效輻射反演技術目前是一種標準且被廣泛接受的方法。
除了 LP-80 冠層分析儀等手持儀器外,標準光合有效輻射傳感器(也稱為量子傳感器)也可用于測量光合有效輻射反演模型的透射輻射。與專用的手持葉面積指數儀器相比,使用光合有效輻射傳感器的優勢在于,光合有效輻射傳感器可以留在野外,持續測量光合有效輻射透射率的變化。當研究冠層葉面積指數的快速變化,或者無法足夠頻繁地訪問野外站點以使用手持儀器捕捉葉面積指數的時間變異性時,這可能很有用。
局限性:光合有效輻射反演技術有一些局限性。它需要在相同或非常相似的光照條件下測量透射(冠層下方)和入射(冠層上方)光合有效輻射。在非常高大的森林冠層中,這可能具有挑戰性,盡管可以在大的冠層間隙或空曠區域進行入射光合有效輻射測量。此外,在極其茂密的冠層中,光合有效輻射的吸收可能幾乎完全,導致冠層底部可測量的透射光很少。這使得當葉面積指數非常高時,難以區分葉面積指數的變化或差異。最后,通過透射光合有效輻射測量獲得的葉面積指數估計值可能會受到葉子聚集的影響 。通常,可以通過收集大量空間分布的透射光合有效輻射樣本來減輕與聚集相關的葉面積指數估計誤差。
輻射反射法
另一種估計葉面積指數的方法使用反射光而非透射光。從健康綠色植被反射的輻射具有非常獨特的光譜(圖 3)。事實上,一些科學家提出,通過尋找這種獨特的光譜信號,可以在太陽系外找到潛在的宜居行星。典型的植被反射光譜在電磁波譜的可見光部分(約 400 至 700 nm,也是光合有效輻射區域)反射率非常低,而在近紅外(NIR)區域(> 700 nm)反射率可高達 50%。每個波長的具體反射率取決于各種葉片色素(如葉綠素)的濃度和冠層結構(如葉片層的排列和數量)。
優勢:早期嘗試使用光譜反射數據量化冠層特性時發現,紅光和近紅外反射率的比值可用于估計特定區域的冠層覆蓋率。后來的研究得出了許多與各種冠層特性相關的不同波長組合。這些波長組合(即光譜植被指數)現在通常用作葉面積指數的替代指標,或者通過經驗模型直接估計葉面積指數。
直到最近,收集反射數據的方法之一是使用手持光譜儀 —— 一種昂貴、精密的儀器,專為實驗室而非野外設計。但隨著能夠測量特定植被指數的輕型多波段輻射計的開發,傳感器選擇范圍擴大了。這些小型傳感器價格低廉,不需要大量電力,非常適合野外監測。
這對任何想要監測葉面積指數隨時間變化的人來說都是好消息,包括對物候學、冠層生長、檢測冠層脅迫和衰退或檢測患病植物感興趣的研究人員。
植被指數還有另一個優勢:許多地球觀測衛星,如Quickbird、Landsat和MODIS,測量的反射率可用于計算植被指數。由于這些衛星觀測的面積很大,它們可以作為將局部尺度的觀測擴展到更廣泛區域的一種方式。相反,使用多波段輻射計在局部尺度上進行的測量可以作為衛星衍生植被指數的有用地面實況數據來源。
多波段輻射計還為矮草草原和草本植物等極矮冠層提供了自上而下的測量選擇。大多數葉面積指數估計方法難以用于這些冠層,因為設備太大,無法完全安裝在冠層下方。植被指數是使用從頂部俯視冠層的傳感器測量的,這使它們在這種情況下成為很好的替代方案。

圖 3. 不同冠層發育階段的反射光譜。注意:隨著葉面積指數的增加,可見光和近紅外(NIR)反射率之間出現明顯差異
局限性:植被指數的局限性之一是它們是無單位值,單獨使用時無法提供葉面積指數的絕對測量值。如果您不需要絕對葉面積指數值,植被指數值可以用作葉面積指數的替代指標。然而,如果您需要葉面積指數的絕對值,則需要將另一種測量葉面積指數的方法與植被指數結合使用,直到收集到足夠的同位數據以建立經驗模型。由于反射率本質上必須從植物冠層頂部測量,在一些高大的冠層中這可能不可行,因此該方法也會受到傳感器位置的限制。
使用 LP-80 冠層分析儀
LP-80 冠層分析儀使用光合有效輻射反演技術來計算葉面積指數(LAI)。LP-80 使用
Norman 和 Jarvis (1975)開發的冠層光透射和散射模型的改進版本。下面討論用作輸入的五個關鍵變量。
τ(透射PAR與入射PAR之比):在任何光合有效輻射(PAR)反演模型中,葉面積指數最有影響的因素是透射與入射光合有效輻射之比。該比率(τ)是使用近地面的透射光合有效輻射(PAR)和冠層上方的入射光合有效輻射(PAR)測量值計算的。
τ 是一個相對直觀的變量。當葉面積指數較低時,大多數入射輻射透過冠層,而不是被吸收或反射,因此 τ 將接近 1。隨著冠層中葉片物質的增加,被吸收的光量成比例增加,透射到地面的光比例減少。LP-80 由一個燈條組成,燈條上有 80 個線性排列的光合有效輻射傳感器和一個外部光合有效輻射傳感器。在典型情況下,燈條用于測量冠層下方的PAR,而外部傳感器用于量化冠層上方或空曠區域的入射PAR。
θ(太陽天頂角):θ 是在任何給定時間、日期和地理位置,太陽在天空中相對于天頂(即正上方的點)的角高度(圖 4)。太陽天頂角用于描述光子穿過冠層的路徑長度(例如,在封閉冠層中,當太陽接近地平線時,路徑長度增加),并用于確定光束輻射與葉片方向之間的相互作用(如下所述)。
LP-80 使用當地時間、日期、緯度和經度的輸入自動計算 θ。因此,確保在 LP-80 配置菜單中正確設置這些參數至關重要。
?b(光束分數):在室外環境中,短波輻射的最終來源是太陽。當天空晴朗時,大部分輻射以光束形式直接來自太陽(圖 5a)。然而,在有云或霧霾的情況下,部分光束輻射會被大氣中的水汽和氣溶膠散射(圖 5b)。這種散射部分稱為漫射輻射。?b 計算為漫射輻射與光束輻射之比。LP-80 通過將測量的入射光合有效輻射值與太陽常數(即在地球表面任何給定時間和地點的已知太陽光能值,假設天空晴朗)進行比較,自動計算?b。
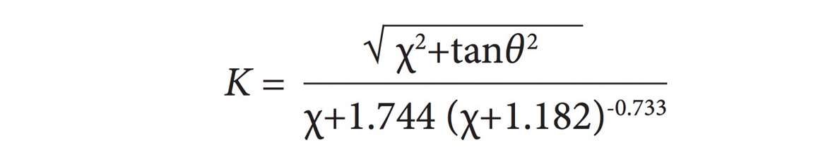
χ(葉角分布):葉角分布參數(χ)描述葉片面積在表面上的投影。例如,想象一個光源正上方照射。垂直方向的葉片所投下的陰影比水平方向的葉片小得多。在自然界中,冠層通常由具有不同方向的葉片組成。這種混合通常最好用所謂的球形葉分布來描述,其 χ 值 = 1(LP-80 中的默認值)。以水平方向為主的冠層(如草莓)的 χ 值 > 1,而以垂直方向為主的冠層(如某些草本植物)的 χ 值 < 1。
一般來說,χ 描述了一天中不同時間,隨著太陽在天空中移動,冠層中的葉片將吸收多少光。光合有效輻射反演技術對葉面積指數的估計對 χ 值不太敏感,尤其是在均勻漫射天空條件下采樣時(Garrigues 等人,2008)。當研究具有極端垂直或水平特征的冠層,以及在晴空條件下(fb 小于約 0.4)工作時,χ 值最為重要。

圖 4. 一天中太陽天頂角的變化。觀察者面向赤道

圖 5. 晴天(a)和陰天(b)條件下的光束分數
K(消光系數):冠層消光系數 K 描述在給定的太陽天頂角和冠層葉角分布下,冠層吸收的輻射量。消光系數的概念來自比爾定律(方程 1)。對消光系數的詳細解釋很快就會變得復雜。對于葉面積指數估計,只需知道太陽光束穿透角與葉角分布的相互作用決定了光子被葉片攔截的概率。為了估計葉面積指數,K 的計算如下:

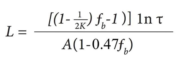
從這個方程可以明顯看出,對于任何給定的冠層,K 只隨著太陽在天空中的移動而變化。LP-80 每次測量葉面積指數時都會自動計算 K。一旦計算出 K 并量化了所有其他變量,葉面積指數的計算如下:

其中 L 是葉面積指數,A 是葉片吸收率。默認情況下,LP-80 中 A 設置為 0.9。對于大多數健康的綠葉來說,葉片吸收率是一個高度一致的屬性,0.9 的值對于大多數情況是一個很好的近似值。在極端情況下(例如,極幼嫩的葉片、多毛或多蠟質的葉片、衰老的葉片),A 可能偏離 0.9,導致葉面積指數估計誤差。如果您在非典型條件下使用 LP-80,可能需要手動將 LP-80 的輸出與修改后的 A 值結合起來計算葉面積指數。
在矮冠層(谷類作物、草原)中使用 LP-80
在典型情況下,最好將 LP-80 冠層分析儀保持在冠層下方的一致高度,而附加的外部光合有效輻射傳感器則保持在冠層上方。使用附帶的氣泡水平儀確保光棒和外部光合有效輻射傳感器保持水平。對于行作物或小樣本地塊,研究人員通常將外部傳感器安裝在行間或冠層上方的三腳架上。每次按下按鈕時,LP-80 都會同時進行冠層上方和下方的光合有效輻射測量,以應對光照條件的任何變化。如果冠層足夠矮,一種更簡單的方法是使用冠層分析儀獲取冠層上方和下方的測量值。只需將 LP-80 舉到冠層上方即可獲取入射光合有效輻射測量值。每隔幾分鐘或在天空條件變化時(例如,由于云層變化)更新冠層上方的測量值。無論哪種情況,所有其他變量都會自動測量和計算,并且每次冠層下方測量時都會更新葉面積指數(LAI)。
在高冠層(森林、河岸地區)中使用 LP-80在高冠層中,用一個儀器測量冠層上方和下方的光合有效輻射通常不切實際。在高冠層中使用 LP-80 時,有幾種方法可用于測量冠層上方和下方的光合有效輻射。
一種方法是將光合有效輻射傳感器安裝在冠層上方或視野開闊的空曠區域。這種方法需要對數據進行一些額外的后處理,但可以得到很好的結果。光合有效輻射傳感器需要連接到其自己的數據記錄儀,該記錄儀應配置為定期(例如,每 1 至 5 分鐘)獲取測量值,以便捕捉環境光水平的任何變化。用冠層分析儀收集冠層下方的測量值,然后在后處理中使用時間戳將每個冠層上方和下方的測量值配對。計算每對的 τ,然后將其用作方程 3 的輸入。
第二種方法在無法將光合有效輻射傳感器放置在冠層上方或沒有光合有效輻射傳感器或數據記錄儀時很有用。如果是這種情況,請使用 LP-80 在冠層外視野開闊的位置測量入射光合有效輻射。在測量模式下,選擇是測量入射輻射還是透射輻射。當使用 LP-80 本身進行冠層上方和下方的讀數時,要考慮天空條件的變化性。
在晴朗的日子里,最好在中午前后采集樣本,因為在 20 至 30 分鐘內光照水平不會有太大變化。當天空條件為均勻陰天時,光合有效輻射條件可以維持更長時間,在需要重新獲取冠層上方測量值之前有更長的測量窗口。
然而,如果天空條件變化很大,我們不建議使用這種方法,除非能夠不斷更新入射光合有效輻射測量值。LP-80 使用存儲的入射光合有效輻射測量值自動計算每次冠層下方測量的葉面積指數。每當光照條件變化時(例如,當云層遮擋太陽圓盤時或約 20-30 分鐘后),重新獲取入射光合有效輻射測量值,以防止葉面積指數計算出錯。
來源:METER Group 官網