基于無人機多光譜遙感的玉米LAI估算研究

摘 要:葉面積指數 (leaf area index,LAI) 是表征作物生長信息的重要參數,利用無人機遙感平臺獲取農作物光譜信息定量反演 LAI 對精確監測作物生長情況具有重要意義。本文以玉米為研究對象,利用無人機 (unmanned aerial vehicle,UAV) 搭載MicaSense RedEdge-M 多光譜成像儀獲取玉米拔節期、抽雄期、成熟期等關鍵生育期內低空遙感影像,同步采集地面 LAI,基于多光譜信息構建植被指數并研究其與 LAI 的定量關系,進一步建立玉米 LAI估算模型,對比分析篩選植被指數與監測時期。實驗發現在拔節期、抽雄期、成熟期玉米 LAI與 NDVI、OSAVI、EVI、NDRE 均具有較好的相關性;在不同時期分別基于 OSAVI、NDRE、NDRE 建立了 LAI 監測模型,模型監測精度分別為 0.549、0.753、0.733;驗證模型精度分別為0.907、0.932、0.926,模型估算值與田間實測值間相對誤差分別為 8.57、8.37、9.24,均方根誤差分別為0.104、0.087、0.091;基于不同生育時期LAI估算模型進行田塊尺度的LAI空間分布制圖,估算值與實測值的決定系數分別為0.883、0.931、0.867;相對誤差分別為:9.17、8.86、9.32。結果表明基于MicaSense Red?Edge-M 多光譜成像儀能有效估算玉米關鍵生育時期 LAI,可為定量實時估算田塊尺度的玉米 LAI提供理論依據。
1 引言
葉面積指數(Leaf area index,LAI)是表征作物冠層結構及生長信息的重要參數之一,了解LAI對掌握作物長勢動態、水肥調控、產量預測等生產管理具有重要意義[1]。玉米是我國主要的作物之一,快速準確獲取其生長信息,以便為田間施肥決策、估產等生產管理提供技術支撐[2]。傳統 LAI 信息獲取方法僅能表示點位信息,而遙感技術憑借非侵入式、高通量的優勢,能快速、無損、大尺度獲取作物生長信息,已成為精準農業的重要內容和研究熱點[3-5]。
目前,利用衛星遙感技術對LAI的估算已經取得了 一 些 進 展 。 如 科 學 家 們 通 過 TM、ETM、WorldView-3、Sentinel-2、GF-1/2 等衛星遙感影像實現了區域尺度的小麥、水稻、玉米、棉花等作物LAI估算[6-11]。但衛星遙感影像容易受大氣云層、雨雪天氣、重訪周期等因素的影響,難以滿足特定區域尺度高頻次、高分辨率數據的需求[12-14]。而低空無人機(Unmannedaerial vehicle,UAV)則能根據需求搭載不同光譜波段的傳感器,有效彌補衛星遙感在中小尺度高精度估算研究中的不足,已逐漸成為現代精準農業研究的新手段[15-18]。如Berni等利用無人機多光譜影像估算橄欖樹LAI[19];劉峰等通過無人機多光譜估算板栗冠層覆蓋度[20];Córcoles等通過無人機多光譜數據研究了洋蔥LAI[21];Peter等利用無人機多光譜影像估算馬鈴薯LAI [22];孫濤等基于無人機多光譜遙感影像實現了水稻 LAI 估算[23];王瑛利用無人機多光譜影像估算小麥LAI[24];褚洪亮等研究指出基于無人機多光譜影像估算玉米 LAI的預測值與田間實測值具有較高的一致性[25];牛慶林等基于多光譜影像估算玉米育種材料LAI精度超過0.60[26];孫詩睿等基于無人機多光譜數據結合灰色關聯度與隨機森林方法反演冬小麥LAI精度達到 0.80[27];高林等基于無人機數碼影像與多光譜遙感影像分別研究了小麥、大豆 LAI[28-29]。這些研究為無人機遙感技術服務農業生產管理提供了新的成果,同時推動了無人機遙感在作物生長信息定量監測中的應用。
雖然基于無人機多光譜的作物參數遙感估算已經取得了一些進展,但這些研究多通過不同傳感器構建某一生育時期或多生育時期累加植被指數建立模型,而植被指數則隨著作物生育時期及冠層結構等因素的變化,在時間尺度上存在一定差異性,導致估算模型估算精度及應用尺度受到局限。因此,本文以無人機搭載 MicaSense RedEdge-M 多光譜成像系統獲取玉米拔節期、抽雄期、成熟期等多光譜影像,綜合考慮在不同生育時期多光譜影像特征,同時結合MicaSense RedEdge-M 的紅邊波段,進一步優化篩選植被指數,建立 LAI 估算模型及估算時期,改善 LAI估算模型的穩定性與適用性;并在此基礎上進行田塊尺度的LAI空間差異性制圖,為田塊尺度的作物生長信息監測診斷提供理論依據與技術支撐。
2 實驗設計
2.1 研究區概況
實驗在中國農業科學院新鄉綜合實驗基地進行,實驗基地地處 113°46'08.10"E,35°08'03.67"N,海拔78.9 m,溫帶大陸性季風型氣候,年平均溫度 14.2℃,無霜期 210 d,年日照時數約 2400.0 h,年蒸發量約2000.0 mm,年平均降水量 585.0 mm。土壤為黃河沖積物發育潮土,0~20 cm 堿解氮 68 .65 mg/kg,速效磷9.21 mg/kg,速 效 鉀 71.12 mg/kg,有 機 質 含 量10.21mg/kg。
2.2 實驗設計
小區實驗于 2019—2020 年進行,采取隨機區組設計,設置 2個玉米品種,5個氮肥水平,3組重復。2個玉米品種分別為“鄭單 958(ZD958)”,“登海 605(DH605)”;5個氮肥(46.00% N 尿素)水平分別為 N0(0 kg/hm2),N1(75 kg/ hm2),N2(150 kg/ hm2),N3(225 kg/ hm2),N4(300 kg/ hm2),總氮肥 60% 作為基肥,40% 作為追肥,磷鉀肥施用量分別為 120 kg/ hm2和 120 kg/ hm2;“ZD958”種植密度為 67500 株/hm2,“DH605”種植密度為 82500 株/hm2;其他管理方式按照豫北平原高產玉米措施管理。
2.3 數據獲取與處理
2.3.1 無人機多光譜遙感影像采集及預處理
無人機多光譜數據采集是利用自主搭建低空無人機遙感監測平臺,主要由大疆六旋翼無人機(Matrice 600Pro,M-600)與MicaSense RedEdge-M多光譜成像儀構成,主要參數見表 1。MicaSense RedEdgeM 多光譜成像儀同時收集藍(Blue)、綠(Green)、紅(Red)、近紅外(Nir)、紅邊(Rededge)5 個不連續的光譜波段,相機焦距為 5.5 mm,視場角為 47.2°,圖像分辨率為 1280×960。飛行前后以相機配備的 0.3 m×0.3 m灰板反射率進行校正。實驗在晴朗無云無風或微風時進行,時間在 11:00—14:00,無人機飛行高度為 70 m,飛行方向為南北方向,航向重疊度為 70%,旁向重疊度為 70%。影像空間分辨率為獲取到的0.035 m。MicaSense RedEdge-M 多光譜成像儀參數見表 2。同步獲取 RGB 高清數碼影像,空間分辨率0.028m,為幾何校正基礎數據。將航拍獲取的多光譜照片以時間序列為索引,選取有效照片導入瑞士Pix4D公司Pix4D mapper軟件,根據照片信息對進行(1)初始化處理;(2)點云和紋理處理;(3)DSM、正射影像等處理;(4)利用各通道反射板校正,輸出拼接后影像;(5)拼接后的多光譜圖像以同期獲取的高清數碼圖像為參考進行幾何校正,誤差小于0.5個像元;(6)根據研究區域地理坐標對拼接后的圖像進行裁剪,形成研究區多光譜影像。

2.3.2 LAI數據采集
在實驗區內隨機選取長勢均勻一致的 1 m×1m固定樣方內采集 LAI,與無人機多光譜數據同步采集。LAI采集以美國 Decagon公司植物冠層分析儀采集,在平行于玉米壟間、垂直壟間各測3次,取算數平均值為該測量點LAI。
2.4 植被指數選取
通過多光譜信息構建植被指數來反演LAI,可有效凸顯作物群體結構信息,降低干擾因素的影響[30]。本文在前人對LAI遙感估算精度研究的基礎上,綜合考慮遙感估算精度不確定性因素的主要來源,同時結合 MicaSense RedEdge-M多光譜影像數據特點,篩選了歸一化差值植被指(NDVI)、控制土壤背景因素的優化土壤調整植被指數(OSAVI)、控制大氣噪聲因素的增強植被指數(EVI)、同時結合多光譜傳感器對紅邊波段優化歸一化紅邊植被指數(NDRE)等具有明確物理意義且與LAI具有較好相關性的植被指數,建立 LAI估算模型。不同植被指數計算公式及來源見表2。

2.5 數據分析
將連續2年數據按照處理進行分組,采用經驗模型法進行 LAI 估算。在對實驗區采集數據經驗性統計描述的基礎上,通過相關、回歸分析,建立經驗模型,并以獨立數據對模型精度進行驗證;在建模過程中,對比分析植被指數與估算時期;在此基礎上利用模型進行大田尺度的LAI空間制圖,結合空間分布圖,進行田間實測值取樣,分析反演制圖精度;進一步分析多光譜數據估算玉米LAI的潛力。
2.6 精度評價
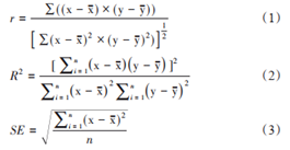
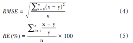
本文以相關系數(Correlation coefficient,r)來衡量LAI與植被指數的相關程度;以決定系數(Determi‐nation coefficient,R2)與標準誤差(Standard error,SE)評價 LAI 的估算效果 ;以均方根誤差(Root meansquare error,RMSE)與相對誤差(Relative error,RE)分析模型估算值與田間實測值的擬合程度,評價模型的驗證精度。


x 表示估計值;xˉ 表示估計值的平均值;y 表示實測值;yˉ表示實測值的平均值 ;n表示樣本數量。
3 結果與分析
3.1 玉米LAI與植被指數的定量關系
通過對無人機多光譜遙感影像進行解譯分析,提取 5個波段下玉米冠層反射率值,根據表 2公式計算植被指數,通過統計分析(n=60)計算不同生育時期LAI與相應植被指數的定量關系(表 3)。由表可知,在不同生育時期,NDVI、OSAVI、EVI、NDRE 與 LAI呈現極顯著相關(P<0.01),相關系數為:0.713~0.868。按照統計學規定,相關系數 0.50≤|r|≤0.80,表明變量之間中度相關;|r|≥0.80,變量之間則高度相。通過相關分析表明所選植被指數均能用來估算玉米LAI,可作為構建LAI估算模型的參數。

3.2 基于植被指數的LAI估算模型精度與驗證
在相關性分析的基礎上,以 LAI 為因變量,植被指數為自變量,建立不同生育時期 LAI估算模型(n=60),不同生育時期玉米 LAI 估算模型見表 4。由表可知:基于4種植被指數的不同生育時期LAI估算模型決定系數(R2)分別為 0.508~0.666、0.667~0.753、0.630~0.733;標 準 誤 差(SE)分 別 為 :0.026~0.133、0.027~0.121、0.047~0.141。表明模型具有較好的估測精度。以獨立數據對模型精度進行驗證(n=60),結果發現不同生育時期模型估算值與田間實測值間相對誤差(RE)分別為:8.57~11.31、8.34~10.84、9.24~13.41;均 方 根 誤 差(RMSE)分 別 為 :0.104~0.147、0.087~0.121、0.091~0.156;說明估算模型具有較好的穩定性。不同生育時期 LAI模型估算值與田間實測值間對比結果如圖2所示。


3.3 基于多光譜的玉米 LAI 空間分布與精度驗證
將LAI估算模型應用于多光譜遙感影像,得到研究區不同生育時期玉米 LAI 空間分布,如圖 3 所示,由圖可知,拔節期玉米LAI相對較小,抽雄期較高,成熟期又略有降低。為驗證空間LAI分布圖估算精度,在圖中隨機選取 30 個采樣點,對比實測值與空間分布圖估算值的一致性,如圖 4 所示,在不同生育時期估算值與實測值間的決定系數(R2)分別為 0.883、0.931、0.867;相對誤差(RE)分別為:9.17、8.86、9.32;均方根誤差(RMSE)分別為 0.115、0.074、0.133。說明估算值與實測值間具有較高的一致性。表明了基于 MicaSense RedEdge-M 多光譜成像系統能較好的估算玉米不同生育時期LAI。


4 結論與討論
無人機作為一種新的遙感技術手段,在彌補現代精準農業監測診斷研究應用中具有重要意義[35]。本文研究了拔節期、抽雄期、成熟期等關鍵生育時期玉米LAI與NDVI、OSAVI、EVI、NDRE等植被指數的定量關系,發現在不同生育時期所選植被指數與LAI的相關系數達到0.713~0.868,說明了所選植被指數可作為LAI建模的參數;這是由于本文中所篩選的植被指數,綜合考慮不同生育階段冠層光譜信息噪聲來源,選取了消除土壤背景、大氣噪聲等因素的植被指數,改善了植被指數與LAI的相關性。
在相關性分析的基礎上,建立了不同生育時期LAI 估算模型,并以獨立數據進行驗證。拔節期、抽雄期、成熟期分別基于 OSAVI、NDRE、NDRE 建立的LAI模型估算精度分別為 0.549、0.753、0.733;驗證模型精度分別為0.907、0.932、0.926;說明抽雄期能更好地估算玉米LAI,不同植被指數尤以NDRE在生育后期能較好的表征LAI。這是由于在生育后期,群體冠層覆蓋度較高,而本文中采用多光譜紅邊中心波段為717nm,波 寬 為 10nm,波 寬 相 對 較 窄 ,噪 聲 較 小 ,NDRE經過進一步歸一化處理,提高了紅邊與近紅外波段反射率的對比度[36],增強了光譜信息對LAI的敏感性,改善了LAI估算精度。這一結果與前人研究結果基本一致[25-29]。
將不同生育時期 LAI 估算模型應用于田塊尺度的玉米 LAI 空間差異性制圖,不同氮肥水平下,LAI隨著施肥量的增加呈增加趨勢,過量施肥則LAI不再增加;從拔節期至成熟期,LAI 呈“低—高—低”的拋物線趨勢。根據空間差異性制圖結果,隨機選取采樣點的實測值對空間分布估測值進行驗證,不同生育時期模型估算值與田間實測值的決定系數分別為0.883、0.931、0.867;相對誤差分別為 9.17、8.86、9.32,說明模型估算值與田間實測值間具有較好的一致性,表明該模型具有較好的穩定性與適應性,該結果可應用于田塊尺度的作物LAI監測,為農田生產管理提供理論依據與技術支持。
由于 LAI 是表征作物冠層結構與長勢信息的參數,在作物全生育時期存在較大差異,而本文僅研究了拔節期、抽雄期、成熟期等關鍵生育時期,有必要對全生育時期進一步研究。另外,本文雖然考慮了不同玉米品種的株型、密度、肥力水平等因素,但由于栽培環境的異質性限制,模型在不同生態環境條件下的適用性仍有待進一步驗證完善。
參考文獻
[1] Jefferies R A, Mackerron D K L. Responses of potato genotypes to drought. II. Leaf area index, growth and yield[J]. Annals of Applied Biology, 1993, 122(1): 105-112.
[2] 李俐,許連香,王鵬新,等 .基于葉面積指數的河北中部平原夏 玉 米 單 產 預 測 研 究 [J]. 農 業 機 械 學 報 , 2020, 51(06):198-208.Li L, Xu L X, Wang P X, et al. Summer maize yield forecasting based on leaf area index[J]. Transactions of the Chinese Society for Agricultural Machinery, 2018, 49(10):230-239.
[3] Fu Y, Yang G, Wang J, et al. Winter wheat biomass estimation based on spectral indices, band depth analysis and partial least squares regression using hyperspectral measurements[J]. Computers and Electronics in Agriculture. 2014,100: 51-59.
[4] Verger A, Vigneau N, Cheron C, et al. Green area index froman unmanned aerial system over wheat and rapeseed crops[J]. Remote Sensing Environment, 2014, 152: 654-664.
[5] Liang L, Di L, Zhang L, et al. Estimation of crop LAI usinghyperspectral vegetation indices and a hybrid inversion method [J]. Remote Sensing Environment, 2015, 165: 123-134.
[6] Walthall C, Dulaney W, Anderson M, et al. A comparison of empirical and neural network approaches for estimating corn and soybean leaf area index from Landsat ETM imagery[J].Remote Sensing of Environment, 2004, 92(4): 465-474.
[7] Propastin P A. Spatial non-stationarity and scale-dependency of prediction accuracy in the remote estimation of LAI over a tropical rainforest in Sulawesi, Indonesia[J]. Remote Sensing of Environment, 2009, 113(10):2234-2242.
[8] Frampton W J, Dash J, Warmouth G, et al. Evaluating the capabilities of Sentinel-2 for quantitative estimation of biophysical variables in vegetation[J]. ISPRS Journal of Photogrammetry and Remote Sensing, 2013, 82: 83-92.
[9] 蘇偉, 侯寧, 李琪, 等. 基于Sentinel-2 遙感影像的玉米冠層葉面積指數反演[J]. 農業機械學報, 2018, 49(1): 151-156.Su W, Hou N, Li Q, et al. Retrieving leaf area index of corn canopy based on sentinel-2 remote sensing image[J]. Transaction of the Chinese Society for Agricultural Machinery,2018, 49(1): 151-156.
[10] 易秋香. 基于Sentinel-2 多光譜數據的棉花葉面積指數估算[J]. 農業工程學報, 2019, 35(16):189-197.Yi Q X. Remote estimation of cotton LAI using Sentinel-2 multispectral data[J]. Transactions of the Chinese Society of Agricultural Engineering, 2019, 35(16): 189-197.
[11] 吾木提·艾山江, 買買提·沙吾提, 陳水森, 等. 基于GF-1/2衛星數據的冬小麥葉面積指數反演[J]. 作物學報, 2020,46(5): 787-797.Umut H, Mamat S, Chen S, et al. Inversion of leaf area index of winter wheat based on GF-1/2 image[J]. Acta Agronomica Sinica, 2020, 46(5): 787-797.
[12] Alonzo M, Bookhagen B, Mcfadden J P, et al. Mapping urban forest leaf area index with airborne LiDAR using penetration metrics and allometry[J]. Remote Sensing of Environment, 2015, 162(1):141-153.
[13] Zhang L Y, Zhang H H, Niu Y X, et al. Mapping maize water stress based on UAV multispectral remote sensing[J].Remote Sensing, 2019, 11(6): 605.
[14] Yu N, Li L J, Schmitza N, et al. Development of methods to improve soybean yield estimation and predict plant maturity with an unmanned aerial vehicle based platform[J]. Remote Sensing of Environment, 2016, 187(15): 91-101.
[15] Bhardwaj A, Sam L, Akanksha A, et al. UAVs as Remote Sensing Platform in Glaciology: Present Applications and Future Prospects[J]. Remote Sensing of Environment, 2016,175(15):196-204.
[16] Niu Y X, Zhang L Y, Zhang H H, et al. Estimating AboveGround Biomass of Maize Using Features Derived from UAV-Based RGB Imagery[J]. Remote Sensing, 2019, 11 (11): 1261.
[17] Guan K, Wu J, Kimball J S, et al. The shared and unique values of optical, fluorescence, thermal and microwave satellite data for estimating large-scale crop yields[J]. Remote Sensing of Environment, 2017, 199: 333-349.
[18] Roosjen P P J, Bbede B, Suomalainen J M, et al. Improved estimation of leaf area index and leaf chlorophyll content of a potato crop using multi-angle spectral data-potential of unmanned aerial vehicle imagery[J]. International Journal of Applied Earth Observation and Geoinformation, 2018, 66:14-26.
[19] Berni J A J, ZARCO-TEJADA P J, SUAREZ L, et al. Thermal and narrowband multispectral remote sensing for vegetation monitoring from an unmanned aerial vehicle[J]. IEEE Transactions on Geoscience and Remote Sensing, 2009, 47(3): 722-738.
[20] 劉峰, 劉素紅, 向陽 . 園地植被覆蓋度的無人機遙感監測研究[J]. 農業機械學報, 2014, 45(11): 250-257.Liu F, Liu S H, Xiang Y. Study on monitoring fractional vegetation cover of garden plots by unmanned aerial vehicles[J]. Transactions of the Chinese Society for Agriculural Machinery, 2014, 45(11): 250-257.
[21] Corcoles J I, Ortega J F, Hernandez D, et al. Estimation of leaf area index in onion (Allium cepa L.) using an unmanned aerial vehicle[J]. Biosystems Engineering, 2013,115(1): 31-42.
[22] Peter P J, Roosjen B B, Juha M, et al. Improved Estimation of Leaf Area Index and Leaf Chlorophyll Content of a Potato Crop using Multi-angle Spectral Data-Potential of Unmanned Aerial Vehicle Imagery[J]. International Journal of Applied Earth Observations and Geoinformation, 2017.
[23] 孫濤, 劉振波, 葛云健, 等 . 基于數碼相片 Gamma 校正的水稻葉面積指數估算[J]. 生態學報, 2014, 34(13):3548-3557.Sun T, Liu Z B, Ge Y J, et al. Estimation of paddy rice leaf area index based on photo gamma correction[J]. Acta Ecologica Sinica, 2014, 34(13): 3548-3557
[24] 王瑛 . 基于無人機遙感的小麥葉面積指數反演方法研究[D].楊凌: 西北農林科技大學, 2017: 28. Wang Y. Research on the inversion methods of wheat leaf area index based on unmanned aerial vehicle remote sensing [D]. Yangling: Northwest A&F University, 2017: 28.
[25] 褚洪亮, 肖青, 柏軍華, 等. 基于無人機遙感的葉面積指數反演[J]. 遙感技術與應用, 2017, 31(01):140-148.Chu H L, Xiao Q, Bai J H, et al. The retrieval of leaf area index based on remote sensing by unmanned aerial vehicle [J]. Remote Sensing Technology and Application, 2017, 31(1): 140-148.
[26] 牛慶林, 馮海寬, 楊貴軍, 等. 基于無人機數碼影像的玉米育種材料株高和 LAI 監測[J]. 農業工程學報, 2018, 34(05): 73-82.Niu Q L, Feng H K, Yang G J, et al. Monitoring plant height and leaf area index of maize breeding material based on UAV digital images[J]. Transactions of the Chinese Society of Agricultural Engineering (Transactions of the CSAE), 2018, 34(5): 73-82.
[27] 孫詩睿, 趙艷玲, 王亞娟, 等. 基于無人機多光譜遙感的冬小麥葉面積指數反演[J]. 中國農業大學學報, 2019, 24(11):51-58.Sun S R, Zhao Y L, Wang Y J, et al. Leaf area index inversion of winter wheat based on multispectral remote sensing of UAV. Journal of China Agricultural University. 2019, 24(11):51-58.
[28] 高林, 楊貴軍, 李紅軍, 等. 基于無人機數碼影像的冬小麥葉面積指數探測研究[J]. 中國生態農業學報, 2016, 24(09):1254-1264.Gao L, Yang G J, Li H J, et al. Winter wheat LAI estimation using unmanned aerial vehicle RGB-imaging[J]. Chinese Journal of Eco-Agriculture, 2016, 24(09): 1254-1264.
[29] 高林, 楊貴軍, 王寶山, 等. 基于無人機遙感影像的大豆葉面積指數反演研究[J]. 中國生態農業學報,2015,23(07):868-876. Gao L, Yang G J, Wang B S, et al. Soybean leaf area index retrieval with UAV (unmanned aerial vehicle) remote sensing imagery[J]. Chinese Journal of Eco-Agriculture, 2015,23(07):868-876.
[30] 劉良云.葉面積指數遙感尺度效應與尺度糾正[J].遙感學報, 2014, 18(6):1158-1168. Liu L Y. Simulation and correction of spatial scaling effects for leaf area index. Journal of Remote Sensing, 2014, 18(6):1158 -1168.
[31] Rouse J W, Haas R H, Schell J A,et al. Monitoring vegetation systems in the Great Plains with ERTS[Z]. NASA Special Publication, 1974, 351: 309-313.
[32] Rondeaux G, Steven M, Bare F. Op-timization of soil-adjusted vegetation indices[J]. Remote Sensing of Environment, 1996, 55: 95-107.
[33] Huete A R. A soil-adjusted vegetation index (SAVI). Remote Sensing of Environment, 1988, 25(3): 295-309.
[34] Barnes E M, Clarke T R, Richards S E, et al. Coincident detection of crop water stress, nitrogen status and canopy density using ground based multispectral data. In: Robert P C.Rust RH LarsonW E, eds., Proceedings of the 5th International Conference on Precision Agriculture, Bloomington. MN. USA. 2000, 7, 16-19.
[35] 陳俊英, 陳碩博, 張智韜, 等. 無人機多光譜遙感反演花蕾期棉花光合參數研究[J]. 農業機械學報, 2018, 49(10):230-239.Chen J Y, Chen S B, Zhang Z T, et al. Investigation on Photosynthetic Parameters of Cotton during Budding Period by Multi-spectral Remote Sensing of Unmanned Aerial Vehicle [J]. Transactions of the Chinese Society for Agricultural Machinery, 2018, 49(10):230-239.
[36] 楊海波, 高興, 黃紹福, 等. 基于衛星波段的馬鈴薯植株氮素含量估測[J]. 光譜學與光譜分析, 2019, 39(09):2686-2692.Yang H B, Gao X, Huang S F, et al. Staellite bands based estimation of nitrogen concentration in potato plants[J]. Spectroscopy and Spectral Analysis, 2019, 39(09):2686-2692.
來源:《農業大數據學報》官網,轉在的目的在于傳遞更多的知識,如有侵權行為,請聯系我們,我們會立即刪除。
